Упр.293 ГДЗ Макарычев Миндюк 9 класс (Углубленный) (Алгебра)
Решение #1

Рассмотрим вариант решения задания из учебника Макарычев, Миндюк, Нешков 9 класс, Просвещение:
293. Решите неравенство:
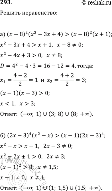
а) (x-8)^2(x^2-3x+4)>(x-8)^2(x+1);
б) (2x-3)^4(x^2-x)>(x-1)(2x-3)^4;
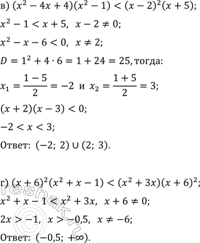
в) (x^2-4x+4)(x^2-1)<(x-2)^2(x+5);
г) (x+6)^2(x^2+x-1)<(x^2+3x)(x+6)^2.
*размещая тексты в комментариях ниже, вы автоматически соглашаетесь с пользовательским соглашением